
微信扫一扫
关注公众号
四臂聚乙二醇琥珀酰亚胺碳酸酯(4-arm PEG-SC)
询价
产品分类
- 新冠疫苗辅料 (76)
- 降血糖药物侧链 (9)
- SNAC (1)
- 索玛鲁肽中间体 (29)
- 替尔泊肽中间体 (20)
- 利拉鲁肽侧链 (8)
- 德谷胰岛素侧链 (7)
- 地特胰岛素侧链 (1)
- 长效生长激素侧链 (6)
- 嵌段共聚物 (2)
- 聚乙二醇标准品 (1)
- 聚乙二醇水凝胶 (16)
- 线性单官能化聚乙二醇 (138)
- 双官能化聚乙二醇 (64)
- 异端官能化聚乙二醇 (247)
- 新型官能化两臂聚乙二醇 (13)
- 官能化两臂聚乙二醇 (54)
- 官能化四臂聚乙二醇 (66)
- 官能化Y型聚乙二醇 (27)
- 主链官能化聚乙二醇 (12)
- 官能化环状聚乙二醇 (11)
- 官能化支化聚乙二醇 (10)
- ADC/PROTAC Linker (233)
- 其他分类 (3)
公司新闻
2-arm PEG-NHS | 两臂聚乙二醇琥珀酰亚胺羧酸酯 | 赛诺邦格PEG衍生物
发布时间:2024-07-30 14:19 | 点击次数:243

中文名称:两臂聚乙二醇琥珀酰亚胺羧酸酯
英文名称:2-arm PEG-NHS
分子量:存在多种分子量,如2K、5K、10K、20K、40K等,具体选择取决于应用需求。
存储条件:建议在-20℃下保存,并保持干燥。
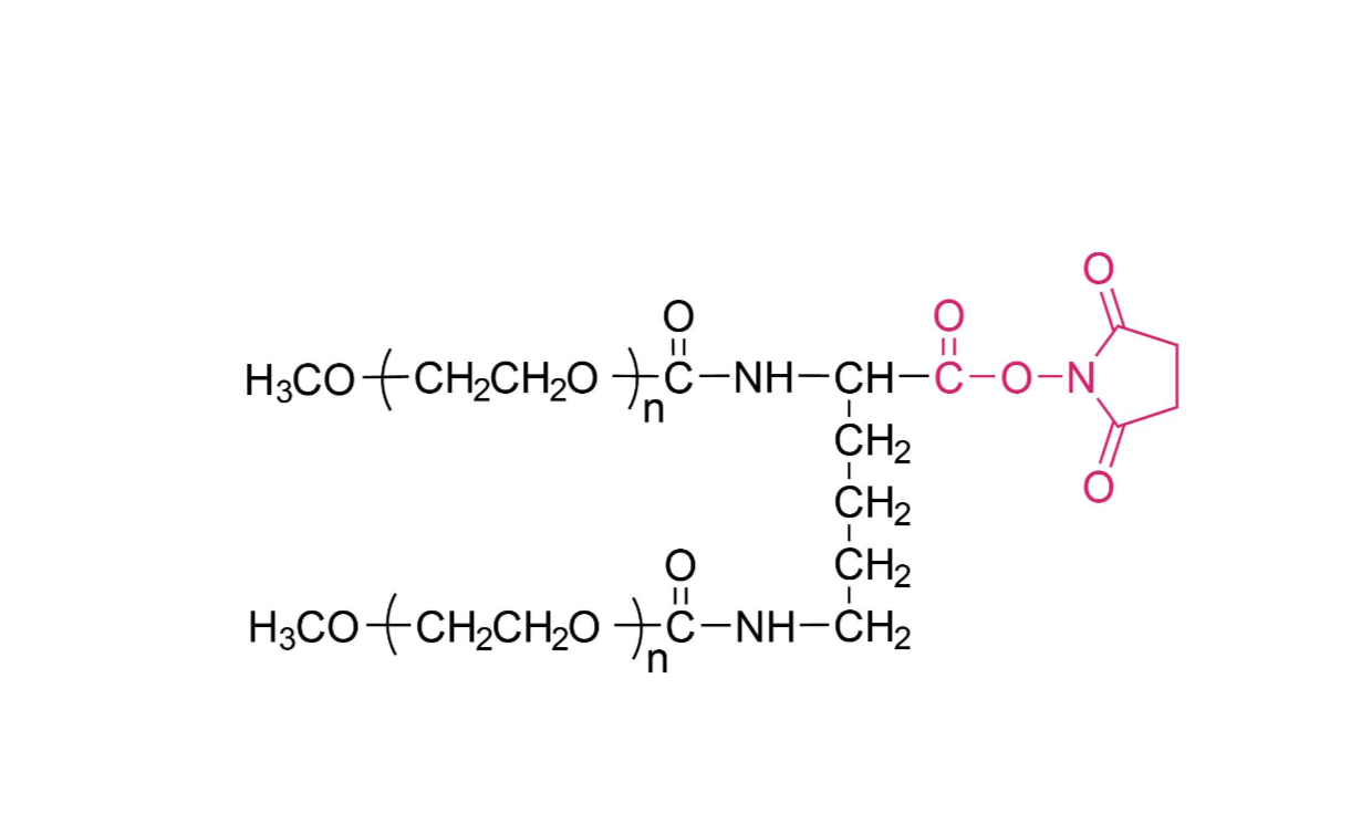
化学结构
2-arm PEG-NHS具有两个琥珀酰亚胺丙/酸酯(SPA)臂,这些臂可以与多种官能团进行反应,如氨基、巯基等。
主要应用
1. 生物偶联与连接:
2-arm PEG-NHS可以作为一个桥梁或连接剂,用于将两个分子或生物分子(如蛋白质、肽、核酸等)连接起来。这种连接在生物偶联或生物共轭反应中非常常见。
2. 生物材料制备:
该化合物可以用于制备水凝胶、涂层、纳米粒子等生物材料。通过调整分子量和连接方式,可以控制材料的物理和化学性质,从而满足特定的生物医学应用需求。这些生物材料在药物递送、组织工程、生物传感器等领域有广泛的应用。
3. 药物传递与释放:
两臂聚乙二醇衍生物具有良好的生物相容性和水溶性,因此可以用于药物传递系统。通过将药物与2-arm PEG-NHS偶联,可以实现药物的定向传递和可控释放,提高药物的治疗效果和降低副作用。
4. 生物医学研究:
在生物医学研究中,2-arm PEG-NHS可以用作探针或标记物,用于研究生物分子的相互作用、细胞信号转导等过程。此外,它还可以用于制备生物传感器或生物成像试剂。
5. 学术研究、创新药研发、疾病研究:
这种化合物在学术研究、创新药研发和疾病研究中也有重要应用。例如,它可以用于多肽PEG衍生物修饰、纳米修饰等生物研究,以及单克隆抗体、多克隆抗体、蛋白质和生物试剂等的制备和修饰。
相关推荐:
| 中文名称 | 简称 |
|---|---|
| 两臂聚乙二醇羟基 | 2-arm PEG-OH |
| 两臂聚乙二醇羧酸 | 2-arm PEG-COOH |
| 两臂聚乙二醇琥珀酰亚胺羧酸酯 | 2-arm PEG-NHS |
| 两臂聚乙二醇马来酰亚胺 | 2-arm PEG-MAL |
| 两臂聚乙二醇胺 | 2-arm PEG-NH2 |
| 两臂聚乙二醇丙缩醛 | 2-arm PEG-Acetal |
| 两臂聚乙二醇丙/醛 | 2-arm PEG-CHO |
| 两臂聚乙二醇二苯并环辛炔 | 2-arm PEG-DBCO |
| 两臂聚乙二醇叠氮化物 | 2-arm PEG-N3 |
| 两臂聚乙二醇琥珀酰亚胺碳酸酯 | 2-arm PEG-SC |


