
微信扫一扫
关注公众号
Y型聚乙二醇琥珀酸(酰胺键),Y-shape PEG-SAA
询价
产品分类
- 新冠疫苗辅料 (76)
- 降血糖药物侧链 (9)
- SNAC (1)
- 索玛鲁肽中间体 (29)
- 替尔泊肽中间体 (20)
- 利拉鲁肽侧链 (8)
- 德谷胰岛素侧链 (7)
- 地特胰岛素侧链 (1)
- 长效生长激素侧链 (6)
- 嵌段共聚物 (2)
- 聚乙二醇标准品 (1)
- 聚乙二醇水凝胶 (16)
- 线性单官能化聚乙二醇 (138)
- 双官能化聚乙二醇 (64)
- 异端官能化聚乙二醇 (247)
- 新型官能化两臂聚乙二醇 (13)
- 官能化两臂聚乙二醇 (54)
- 官能化四臂聚乙二醇 (66)
- 官能化Y型聚乙二醇 (27)
- 主链官能化聚乙二醇 (12)
- 官能化环状聚乙二醇 (11)
- 官能化支化聚乙二醇 (10)
- ADC/PROTAC Linker (233)
- 其他分类 (3)
公司新闻
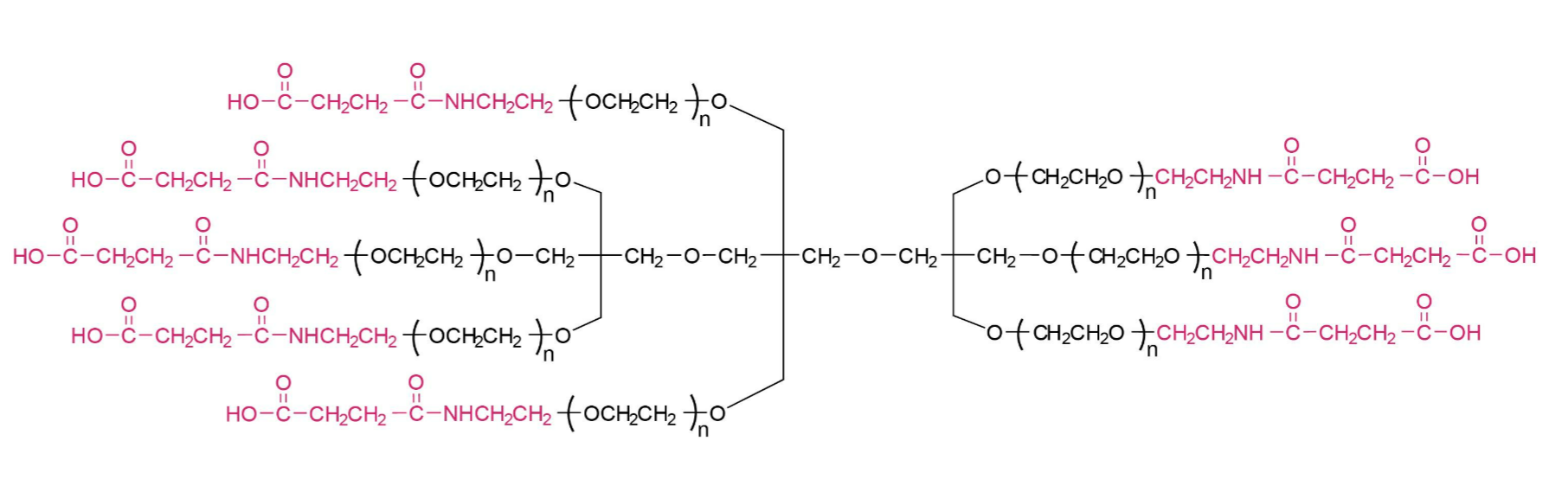
8-arm PEG-SAA | 八臂聚乙二醇琥珀酸(酰胺键) | 赛诺邦格PEG衍生物
发布时间:2024-10-24 15:55 | 点击次数:231

一、基本信息
- 英文名称:8-arm PEG-SAA 或 8-Arm PEG-Succinamide Acid
- 中文名称:八臂聚乙二醇酰胺丁二酸 或 八臂聚乙二醇-丁二酸酰胺
- 结构特点:该化合物具有八个聚乙二醇(PEG)臂,每个臂的末端都连接着丁二酸酰胺(SAA)基团。这种多臂结构赋予了8-arm PEG-SAA独特的水溶性和生物相容性。
二、物理性质
- 分子量:根据生产需求,8-arm PEG-SAA的分子量可以有多种规格,如0.4k、0.6k、1k、2k、3.4k、5k、10k、20k等,甚至可以根据客户需求进行定制。
- 外观:根据分子量的不同,8-arm PEG-SAA可能呈现为固体或液体状态。
- 溶解性:8-arm PEG-SAA溶于大部分有机溶剂,如二氯甲烷(DCM)、N,N-二甲基甲/酰胺(DMF)、二甲基亚砜(DMSO)、四氢/呋喃(THF)等,同时也具有很好的水溶性。
三、化学性质
- 反应活性:8-arm PEG-SAA的末端含有酰胺基团(SAA),该基团可以与含有氨基(NH2)或羟基(OH)的化合物发生酰胺化反应或酯化反应,形成稳定的酰胺键或酯键。这种反应常用于生物分子的PEG化修饰,通过引入PEG链来改善生物分子的水溶性、稳定性、生物相容性和药代动力学性质。
- 多臂结构优势:8-arm PEG-SAA的多臂结构使其能够同时与多个分子进行偶联反应,形成具有复杂结构和特定功能的复合物或生物偶联物。这种偶联反应通常通过其末端的酰胺基团与生物分子上的氨基、巯基等官能团进行反应来实现。
四、应用领域
- 生物医学:在生物医学领域,8-arm PEG-SAA可用于连接蛋白质、多肽或其他生物活性分子,以实现特定的生物学功能或应用。例如,它可以用于构建生物偶联体系、药物传递系统或用于生物成像等方面。
- 高分子材料:在高分子材料领域,8-arm PEG-SAA还可以作为交联剂使用,通过其多臂结构与高分子链上的多个位点进行交联反应,形成三维网络结构的高分子材料。这种交联反应可以显著改善高分子材料的力学性能、热稳定性和耐溶剂性等性能。
相关推荐:
| 中文名称 | 英文简称 |
|---|---|
| 八臂聚乙二醇胺 | 8-arm PEG-NH2 |
| 八臂聚乙二醇羧酸 | 8-arm PEG-CM |
| 八臂聚乙二醇琥珀酸(酯键) | 8-arm PEG-SA |
| 八臂聚乙二醇戊酸(酯键) | 8-arm PEG-GA |
| 八臂聚乙二醇硫醇 | 8-arm PEG-SH |
| 八臂聚乙二醇丙/醛 | 8-arm PEG-pALD |
| 八臂聚乙二醇马来酰亚胺(醚键) | 8-arm PEG-MAL(ether) |
| 八臂聚乙二醇琥珀酰亚胺碳酸酯 | 8-arm PEG-SC |
| 八臂聚乙二醇叠氮化物 | 8-arm PEG-N3 |
| 八臂聚乙二醇丙烯酸酯 | 8-arm PEG-AA |


