
微信扫一扫
关注公众号
- 新冠疫苗辅料 (76)
- 降血糖药物侧链 (9)
- SNAC (1)
- 索玛鲁肽中间体 (29)
- 替尔泊肽中间体 (20)
- 利拉鲁肽侧链 (8)
- 德谷胰岛素侧链 (7)
- 地特胰岛素侧链 (1)
- 长效生长激素侧链 (6)
- 嵌段共聚物 (2)
- 聚乙二醇标准品 (1)
- 聚乙二醇水凝胶 (16)
- 线性单官能化聚乙二醇 (138)
- 双官能化聚乙二醇 (64)
- 异端官能化聚乙二醇 (247)
- 新型官能化两臂聚乙二醇 (13)
- 官能化两臂聚乙二醇 (54)
- 官能化四臂聚乙二醇 (66)
- 官能化Y型聚乙二醇 (27)
- 主链官能化聚乙二醇 (12)
- 官能化环状聚乙二醇 (11)
- 官能化支化聚乙二醇 (10)
- ADC/PROTAC Linker (233)
- 其他分类 (3)
DSPE-PEG-MAL赋能in vivo CAR-T:GMP级现货,定义靶向递送新标杆
发布时间:2025-11-19 15:37 | 点击次数:326
在生物医药领域,CAR-T疗法正经历着从体外制备到体内编程的革命性跨越。2025年成为体内CAR-T(in vivo CAR-T)发展的关键转折点——6月,Capstan公司宣布其基于tLNP载体的体内CAR-T疗法CPTX2309正式进入Ⅰ期临床试验;随后,艾伯维以21亿美元全现金收购Capstan,获得了其专有tLNP平台技术。这笔交易印证了大型药企对体内CAR-T赛道的高度认可,也标志着该技术正式从概念验证迈向临床开发新阶段。

in vivo CAR-T与tLNP:精准医疗的下一个风口
行业背景:从体外到体内的革命性跨越
传统体外CAR-T疗法已在B细胞白血病和淋巴瘤创下了辉煌的里程碑,但其复杂的制造过程、高昂的费用及毒性等局限成为了这项技术大面积普及的瓶颈所在。据行业调研,一剂商业化CAR-T产品的价格高达37万至47万美元,且从细胞采集到回输需要耗时3-5周,部分患者因病情快速进展而无法等待。
体内CAR-T疗法以颠覆性的技术思路,通过特殊载体将CAR基因直接送入体内,跳过繁琐的体外步骤,直接在患者体内完成对T细胞的“装备升级”。这种“体内工厂”模式不仅大幅简化治疗流程,更有望将成本降低至传统CAR-T的十分之一,成为下一代细胞免疫治疗的破局点。
tLNP:实现体内CAR-T的核心递送系统
在体内CAR-T疗法的实现路径中,靶向脂质纳米颗粒(tLNP)已成为行业主流技术路线。tLNP通过在传统LNP表面修饰特异性靶向配体(如抗体、多肽),赋予其精准识别并递送基因货物至T细胞的能力。
其核心技术在于:将靶向抗体精确偶联到LNP表面,形成“导航导弹”式递送系统。当tLNP进入体内后,表面的靶向配体引导整个纳米颗粒与T细胞特异性结合,通过内吞作用将CAR-mRNA递送至细胞内,实现T细胞的原位重编程。
DSPE-PEG-MAL:构建tLNP的关键“化学桥梁”
驱动靶向递送:tLNP功能化的三重赋能
在构建tLNP的复杂体系中,DSPE-PEG-MAL扮演着动态的“执行者”角色,其结构设计精准对应了其在制备流程中的关键功能,其作用可分解为以下三个递进且连贯的步骤。
· 嵌入与锚定:从溶液到膜相的精准定位
在LNP的自组装过程中,DSPE-PEG-MAL凭借其DSPE疏水尾的物理化学性质,能够自发地将其“锚定”在形成中的脂质双层膜上。这一过程确保了整个分子以预设的取向和稳定的方式成为LNP结构的一部分,为后续功能奠定了基础。
· 伸展与保护:在界面上建立空间防线
一旦锚定,亲水的PEG2000链便充分伸展至LNP周围的水相环境中,形成一个柔性的、水化的“刷状”保护层。此保护层是LNP的“第一道防线”,通过抑制蛋白质非特异性吸附和减少颗粒间聚集,延长体内循环半衰期,在复杂的体内环境中维护LNP的理化稳定性与功能性完整性。
· 点击与赋能:从通用载体到精准导弹的化学蜕变
位于PEG链末端的马来酰亚胺(-MAL)基团,是赋予LNP“智慧”的化学开关。它作为一个高选择性的生物偶联位点,能够与经过工程化修饰(例如,通过还原二硫键或利用SATA等试剂引入)的抗体巯基发生高效反应。正是通过这一步不可逆的共价连接,普通的LNP才被“赋能”,进化为能够精准识别特定细胞表面抗原的靶向tLNP。

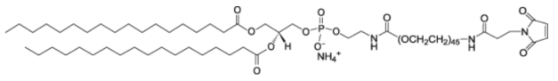
图1:DSPE-PEG-MAL(铵盐)的分子结构示意图
在LNP表面实现抗体偶联的技术路径
利用DSPE-PEG-MAL在LNP表面实现抗体偶联,是目前构建tLNP最成熟、应用最广泛的策略。这一过程通常涉及三个核心环节:
1. LNP制备:将DSPE-PEG-MAL与其他脂质组分(可电离脂质、辅助脂质、胆固醇、PEG脂)通过微流控混合技术制备成LNP,此时DSPE-PEG-MAL的马来酰亚胺(-MAL)基团暴露在LNP表面。
2. 抗体预处理:遵循行业内构建靶向LNP的常用方法(例如Capstan Therapeutics在专利WO2024249954中所述),将抗体进行巯基(-SH)化修饰,为后续偶联反应做准备。
3. 偶联反应:将巯基(-SH)化抗体与LNP在适宜缓冲液(如PBS,pH 7.4)中低温(如4°C)孵育(通常为数小时至过夜),抗体上的巯基与LNP表面的马来酰亚胺(-MAL)基团共价结合,完成靶向功能化修饰。
与慢病毒、腺相关病毒等病毒载体相比,基于DSPE-PEG-MAL的LNP递送系统具有低免疫原性、无插入突变风险、易规模化生产等优势,成为体内CAR-T理想载体。
赛诺邦格GMP级DSPE-PEG-MAL核心优势
GMP级生产与现货供应
在当前in vivo CAR-T研发浪潮中,高质量、可稳定供应的关键辅料是确保研发顺利推进的基石。厦门赛诺邦格已建立完整的GMP质量管理体系,成功实现DSPE-PEG-MAL的GMP级别规模化生产,并建立充足现货库存。
即将完成CDE与DMF双备案
为更好地助力客户药品注册申报,我们的DSPE-PEG-MAL产品正在积极推进:
· 中国CDE辅料登记备案:完成后可直接关联用于药品注册申请
· 美国FDA DMF备案:提供向FDA证明辅料质量和合规性的权威依据,
赛诺邦格从原料源头、合成工艺到纯化控制,建立了一套完整的质控体系。我们深知,对于in vivo CAR-T这类前沿疗法而言,辅料的任何微小差异都可能对最终制剂的理化性质、体内行为乃至治疗效果产生巨大影响。我们不仅对纯度、马来酰亚胺(-MAL)基团的活性以及PEG链的完整性进行严格控制,更是基于多年来对PEG及活性衍生物工业化生产的深刻理解以及多个IND项目的申报经验,开发了一系列特异性表征检测项,这些深入的理化性质表征所构成的差异化优势,能为您的项目申报提供更全面的数据支持。双备案完成后,客户可直接引用我们的备案号,大幅简化IND(新药临床试验申请)或NDA(新药上市申请)申报流程,节省时间和人力成本,显著提升项目申报成功率。
DSPE-PEG系列产品扩展
除了DSPE-PEG-MAL,我司还可提供多种功能化磷脂-PEG衍生物的定制开发服务,满足不同研发需求:



